有機膦酸鹽
二乙烯三胺五甲叉膦酸七鈉??DTPMP?Na7
CAS NO.22042-96-2 (x-Na) 68155-78-2 (7-Na)
Sodium salt of Diethylene Triamine Penta (Methylene Phosphonic Acid)
CAS NO.22042-96-2 (x-Na) 68155-78-2 (7-Na) Dequest 2066
分子式:C9H21O15N3P5?Na7 相對分子質量:727
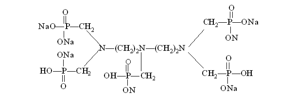
結構式:
DTPMP?Na7為DTPMPA的鈉鹽水溶液,無毒,可以任意比例與水混溶。
二、技術指標
|
項 目 |
指 標(HG/T4330-2012) |
|
外 觀 |
紅棕色液體 |
|
活性組分(以DTPMPA計),% |
31.5~33.5 |
|
活性組分(以DTPMPA·Na7計),% |
40.0~42.5 |
|
氯化物(以Cl-計),% ≤ |
5.0 |
|
pH值(1%水溶液) |
7.0~9.0 |
|
pH值(原液) |
6.0~8.0 |
|
密度(20℃),g/cm3 ≥ |
1.25 |
|
Fe(以Fe2+計)含量,mg/L ≤ |
20.0 |
三、應用范圍與使用方法
DTPMP?Na7可用作阻垢劑、高效螯合劑、優良的BaSO4阻垢劑,DTPMP?Na7廣泛用于冷卻水處理、過氧化物漂白的穩定劑、洗滌助劑、油田阻垢。
四、包裝與貯存
DTPMP?Na7塑料桶包裝,每桶25Kg 或250Kg,也可根據用戶需要確定。貯于室內陰涼處,貯存期十個月。
五、安全防護
DTPMP?Na7應避免本品與眼睛、皮膚接觸,一旦濺到身上,應立即用大量水沖洗(至少15分鐘)。
錄入時間:2014/7/15 11:07:13 點擊次數:5920
